Алматы қаласы Білім басқармасының
«№40 жалпы білім беретін мектеп»
коммуналдық мемлекеттік мекемесі
Мектеп директоры:
+7(727) 254-62-31
Мектеп директорының орынбасарының ұ.т:
+7(727) 254-62-19
eOtinish.kz
mektep40_
Нашар көрушілер
нұсқасы
Кіру
Қазақша
|
Русский
kitaphana.edu.kz
digitallibrary.kz
bookfund.kz
Басты
Президент жолдауы
Мемлекеттік рәміздер
МЕКТЕП
Әдістемелік жұмыстар
Жетістіктеріміз
Тарихымыз
Әкімшілік
Нормативтік құжаттар
ТВ-Видео
Іс-шаралар
Ұстаздар
Оқушыларға
Сабақ кестесі
ҰБТ
Оқушылар жетістіктері
Ата-аналарға
Тамақтандыру
Ашық конкурс
Қызметті қаржыландыру жоспары
Тамақтандырудың сапалық мониторингі
Келісім шарттары
Ашық бюджет
Штат кестесі және тарифтік тізімі
Жеке қаржыландыру жоспары
Қаржылық қызметтің негізгі көрсеткіштері
Мемлекеттік сатып алу жоспары
Кіріс және шығыс есебі
Бекітілген бюджет
Ашық орган
Жемқорлыққа қарсы күрес
Қамқоршылық кеңес
Мемлекеттік қызмет
Регламент
Стандарттары
Байланыс
Табу
Школа №40
»
Ашық орган
»
Мемлекеттік қызмет
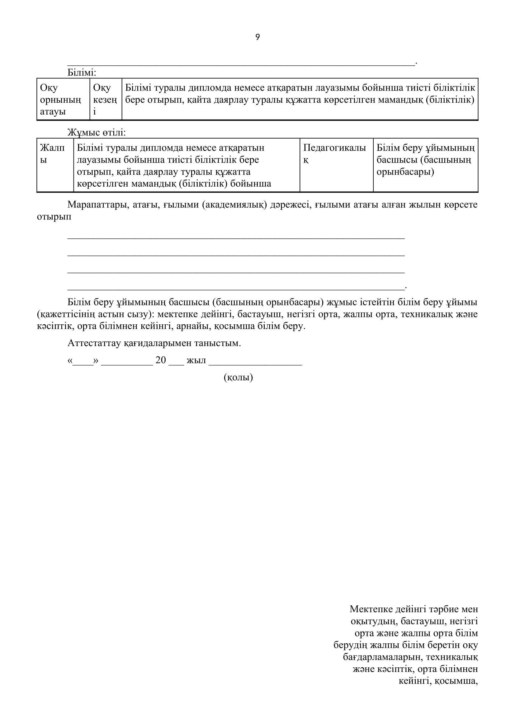
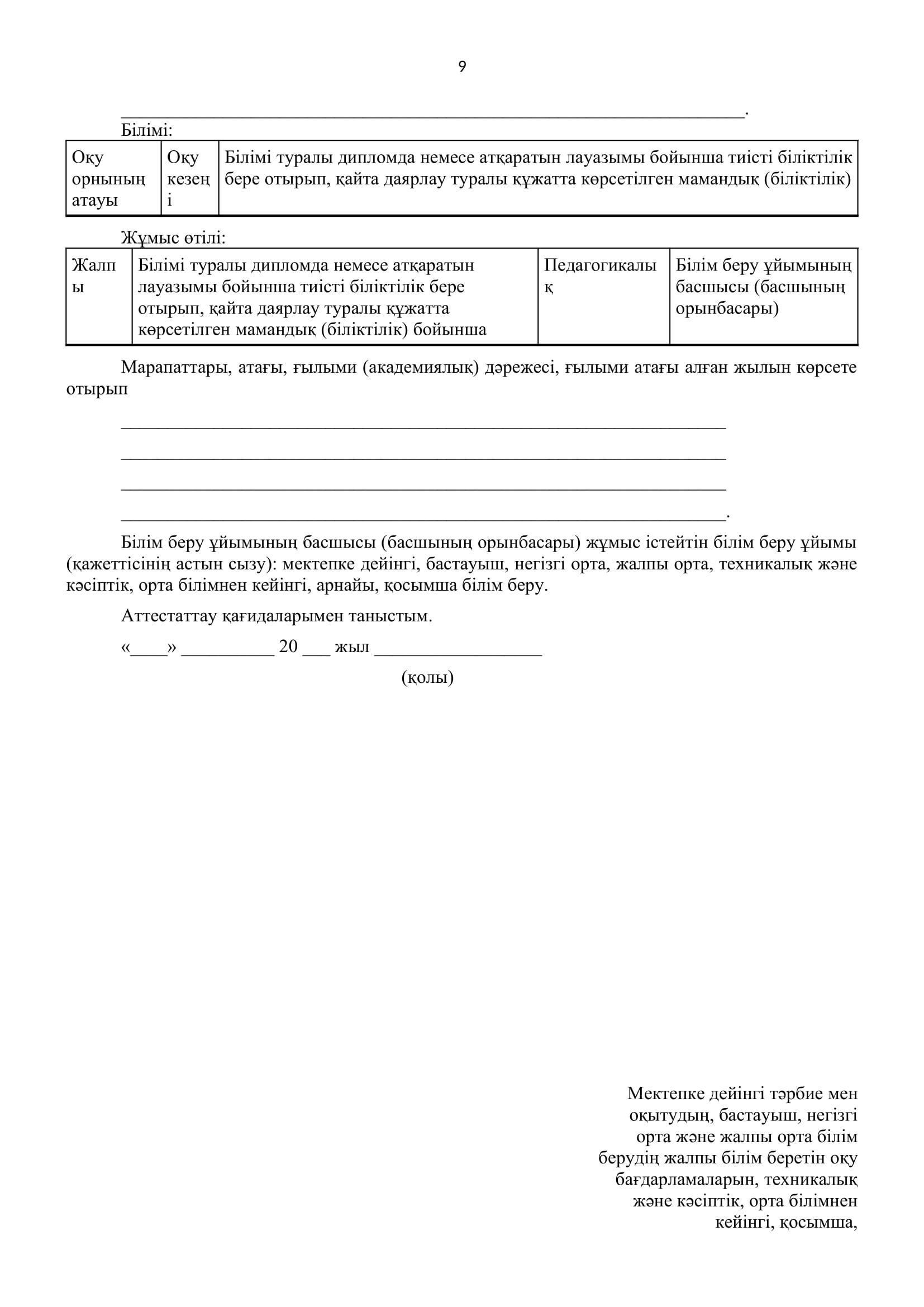
» Аттестаттаудан өткізуге құжаттарды қабылдау
28
ақпан
2020
0
1
2
3
4
5
Аттестаттаудан өткізуге құжаттарды қабылдау
Похожие публикации:
20 қаңтар 2020
Балаларға қосымша білім беру бойынша қосымша білім беру ұйымдарына құжаттар қабылдау және оқуға қабылдау
13 қаңтар 2020
денсаулығына байланысты ұзақ уақыт бойы бара алмайтын балаларды үйде жеке тегін оқытуды ұйымдастыру үшін құжаттар қабылдау
06 қаңтар 2020
Арнайы жалпы білім беретін оқу бағдарламалары бойынша оқыту үшін мүмкіндіктері шектеулі балалардың құжаттарын қабылдау және арна
28 сәуір 2020
ҮЙДЕН ШЫҚПА!
01 сәуір 2020
ОҚУ-ТӘРБИЕ ПРОЦЕСІНЕ ҚАТЫСУШЫ ПЕДАГОГТЕРДІҢ ҚЫЗМЕТІ
Авторизация
Войти на сайт
Чужой компьютер
Забыли пароль?
Регистрация